Conic sections are a fundamental concept in mathematics, with various real-world applications. Understanding how conic sections work can help solve practical problems in fields such as engineering, physics, and astronomy.
One way to practice working with conic sections is through worksheets. By completing a real-world applications of conic sections worksheet, students can apply their knowledge in a practical context and reinforce their understanding of the topic.
real world applications of conic sections worksheet
Exploring Real-World Applications of Conic Sections Worksheet
These worksheets typically include problems that involve scenarios where conic sections are used to model real-life situations. For example, students may be asked to determine the trajectory of a projectile using parabolic equations or calculate the dimensions of an elliptical pool.
By working through these problems, students can see firsthand how conic sections are used in fields such as architecture, transportation, and design. This hands-on approach helps make abstract mathematical concepts more tangible and relevant to everyday life.
Furthermore, completing real-world applications of conic sections worksheets can improve problem-solving skills, critical thinking, and analytical reasoning. These are valuable skills that can benefit students not only in math but also in other subjects and future careers.
In conclusion, exploring real-world applications of conic sections through worksheets is a practical and engaging way to deepen understanding and mastery of this mathematical concept. By solving problems based on real-life scenarios, students can see the relevance and importance of conic sections in various fields, making learning more meaningful and impactful.
Word Problems Conic Parabolas YouTube
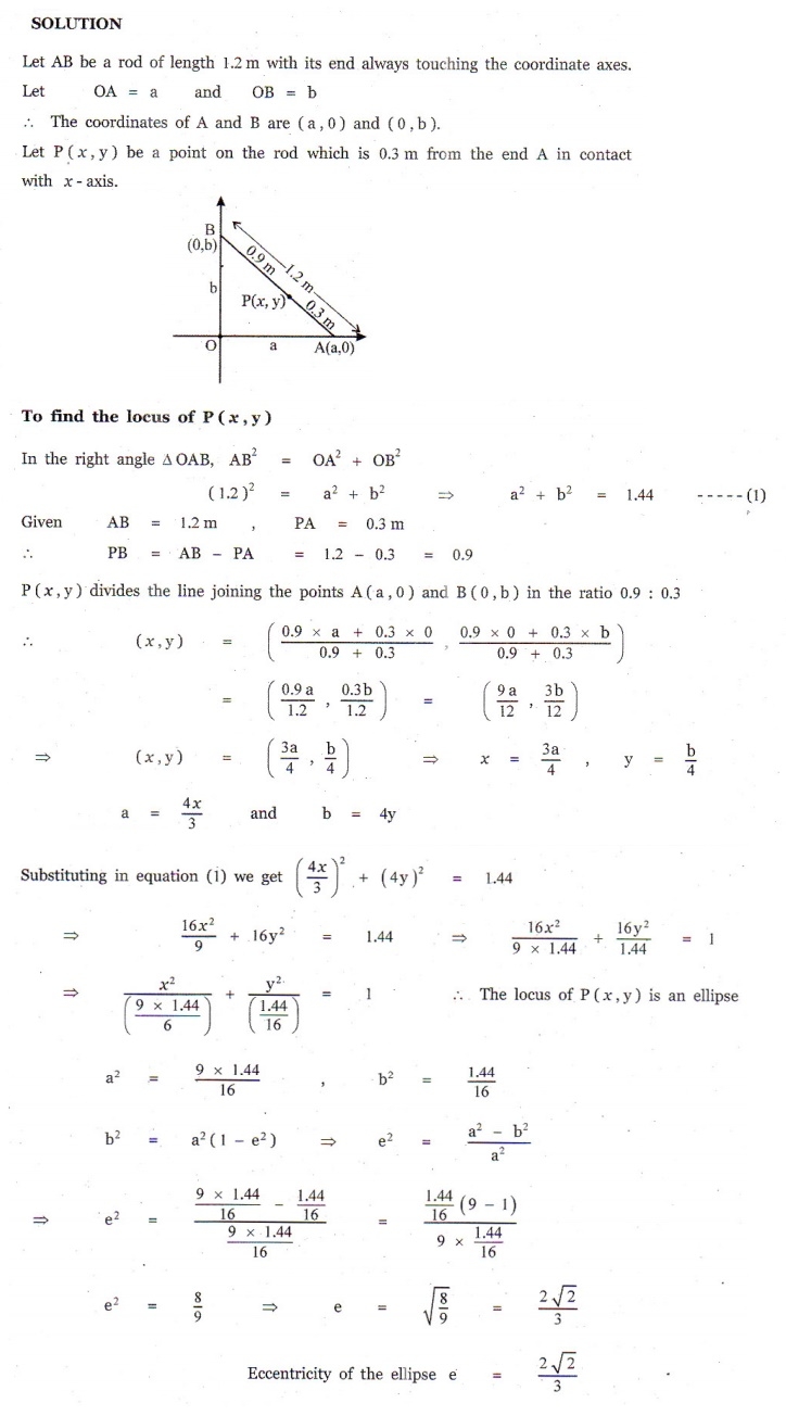
Exercise 5 5 Real Life Applications Of Conics Problem Questions With Answer Solution
Conic Sections Applications Math Lib Activity All Things Algebra
Conic Sections Applications Math Lib Activity All Things Algebra
Day 3 HW 11 Circle Word Problem Is The Cell Phone Inside The Range Of Coverage YouTube





