Are you looking for a fun and interactive way to practice composition of functions? Look no further! Our composition of functions worksheet is here to help you master this concept with ease.
Whether you’re a student studying for an upcoming math exam or a teacher looking for supplemental materials for your classroom, our worksheet is designed to make learning composition of functions enjoyable and effective.
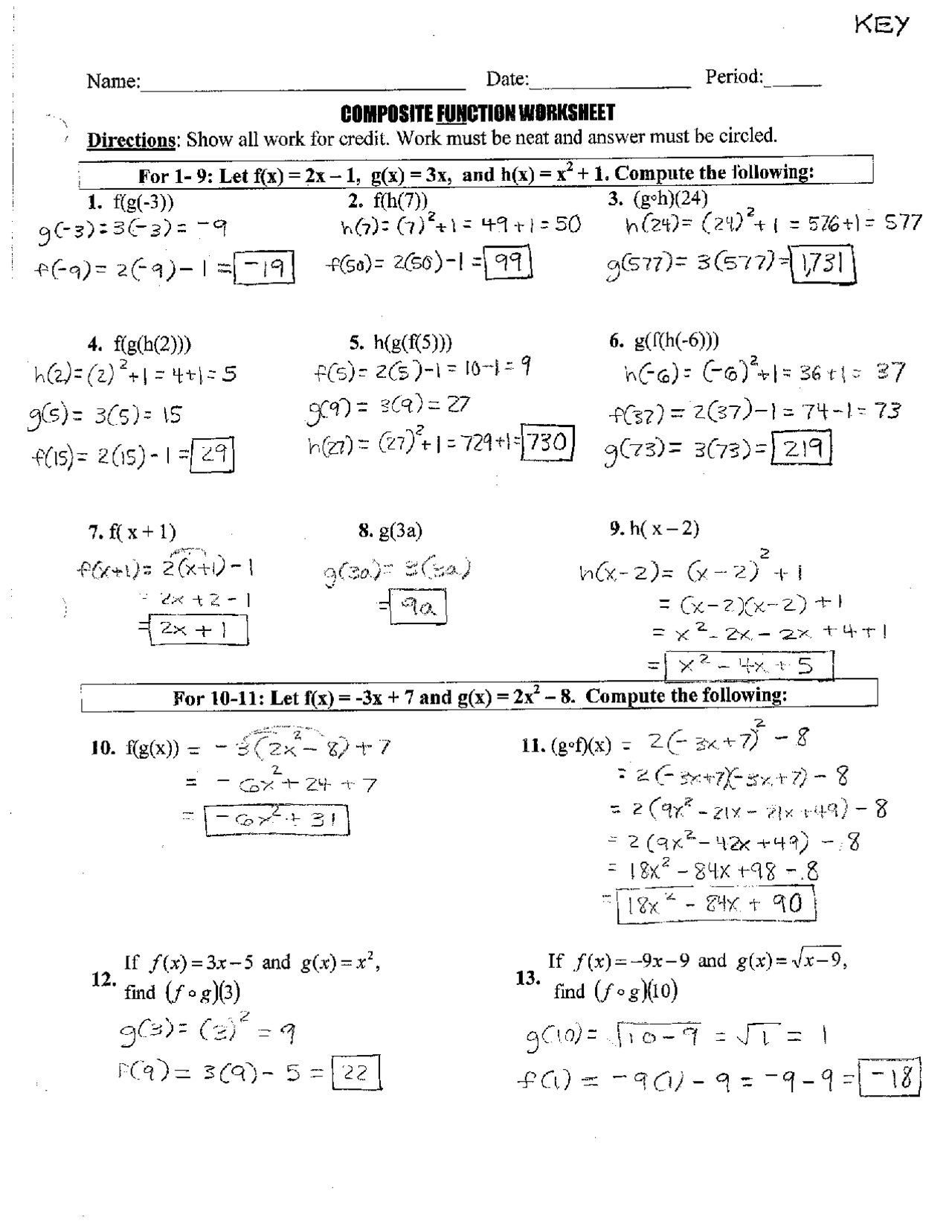
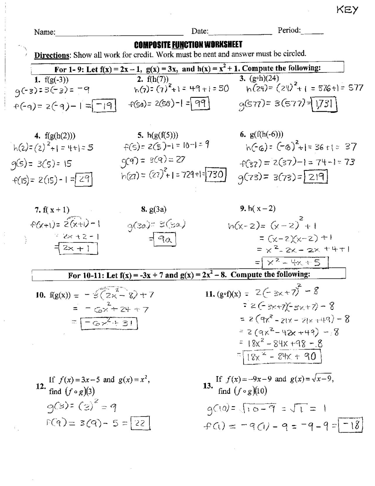
composition of functions worksheet
Unlock the Power of Composition of Functions with Our Worksheet
Our worksheet offers a variety of problems and exercises that cover different aspects of composition of functions. From basic to advanced level questions, you’ll find everything you need to strengthen your understanding of this topic.
Each problem is carefully crafted to provide a step-by-step guide on how to approach and solve it. You’ll also find detailed explanations and solutions to help you check your work and learn from any mistakes you make along the way.
By practicing with our composition of functions worksheet, you’ll not only improve your problem-solving skills but also boost your confidence in tackling similar problems in the future. So why wait? Dive in and start mastering composition of functions today!
In conclusion, our composition of functions worksheet is a valuable resource for anyone looking to sharpen their math skills. Whether you’re a student or a teacher, this worksheet is sure to help you grasp the concept of composition of functions in no time. Happy learning!
Edia AI Platform For Student Outcomes
Composite Functions Worksheet With Answers Exercises Algebra Docsity
Composition Of Functions Worksheets Worksheets Library
Composite Functions B Worksheet Algebra II PDF Worksheets Cazoom Math
Edia AI Platform For Student Outcomes





