Are you struggling with solving word problems involving logarithms on your math worksheet? Don’t worry, we’ve got you covered! In this article, we’ll walk you through some examples of word problems solved using logs.
Logs can be tricky, but with a little practice, you’ll be a pro in no time. Let’s dive into some real-world scenarios where logarithms come in handy on your worksheet.
worksheet with word problems solved with logs
Worksheet with Word Problems Solved with Logs
Imagine you have a population growth problem where the growth rate is given as a logarithmic function. By using logs, you can easily calculate the time it takes for the population to reach a certain size.
Another common application of logs is in finance. If you’re dealing with compound interest problems on your worksheet, logs can help you determine the time it takes for an investment to double or triple in value.
Logs are also used in chemistry to calculate the pH of a solution. By applying logarithms to the concentration of hydrogen ions, you can determine whether a solution is acidic, basic, or neutral.
So, next time you encounter word problems involving logs on your worksheet, remember that logs are your friend! With a little practice and understanding, you’ll be able to tackle these problems with ease.
Keep practicing and don’t get discouraged. Remember, math is all about practice and persistence. You’ve got this!
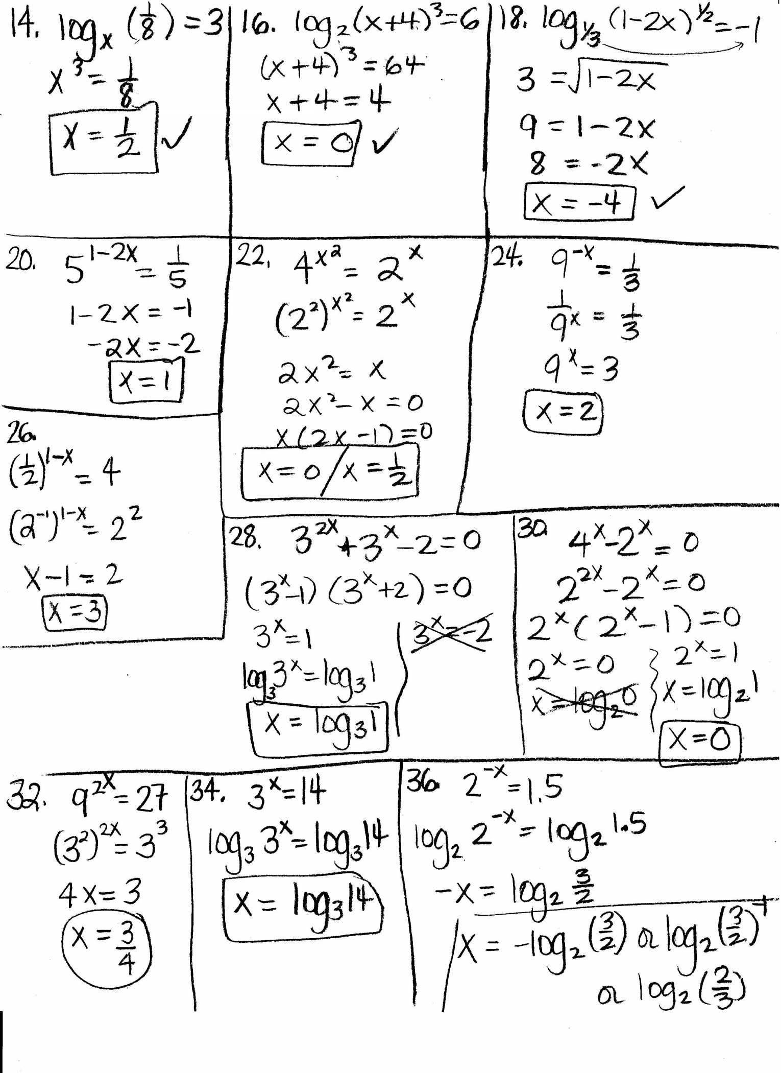
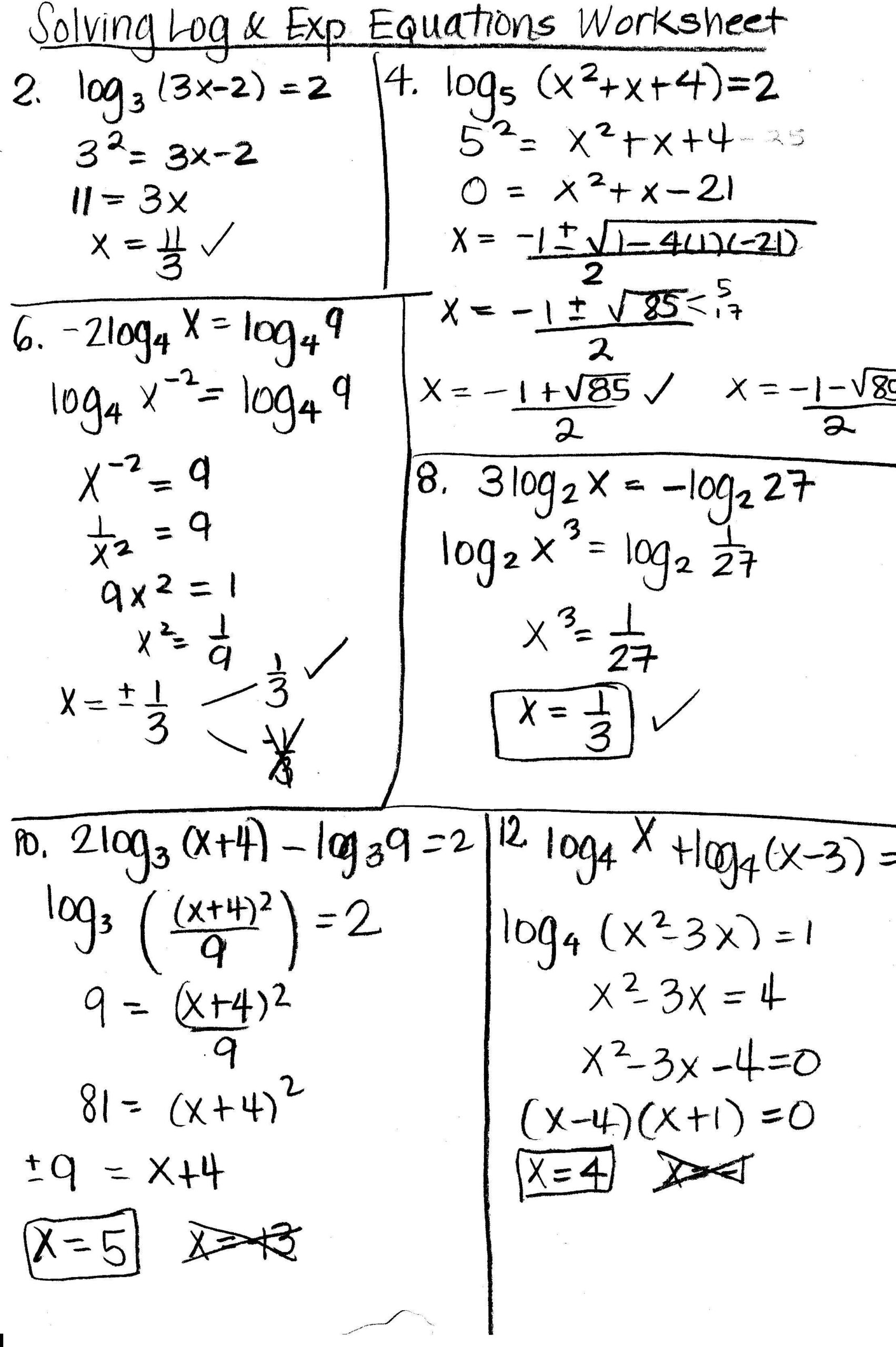
Solving Logarithmic Equations Worksheets
Addition Word Problems 2nd Grade
Edia AI Platform For Student Outcomes
Solving Log Equations Worksheet Key Word Problem Worksheets Worksheets Library
Solving Logarithmic Equations Worksheet Word Problem Worksheets Worksheets Library





