Are you looking for a fun and interactive way to practice multiplying polynomials? Look no further! Our multiplying polynomials by polynomials worksheet is here to help you sharpen your algebra skills.
With our worksheet, you can work through various exercises that will challenge your understanding of polynomial multiplication. Whether you’re a beginner or an experienced math whiz, there’s something for everyone in this worksheet.
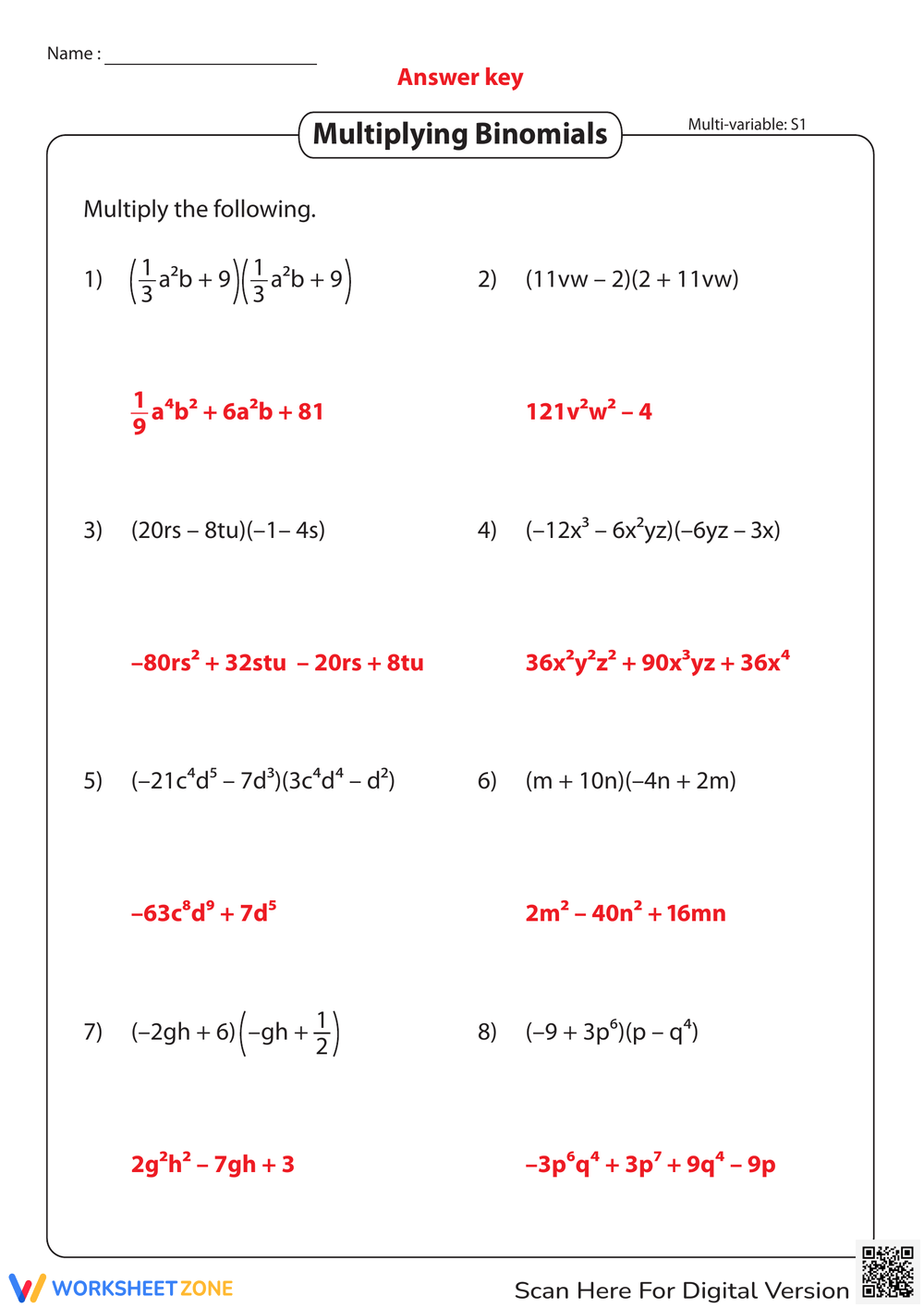
multiplying polynomials by polynomials worksheet
Mastering Polynomial Multiplication with Our Worksheet
Each problem in the worksheet is designed to test your ability to multiply polynomials efficiently. You’ll encounter different types of polynomials and learn how to apply the multiplication rules effectively to find the correct answers.
By practicing with our worksheet, you’ll gain confidence in multiplying polynomials and improve your problem-solving skills. The more you practice, the better you’ll get at tackling complex polynomial multiplication tasks with ease.
Don’t let polynomial multiplication intimidate you! With our engaging worksheet, you can turn a challenging math topic into an enjoyable learning experience. So grab a pencil, print out the worksheet, and get ready to conquer polynomial multiplication like a pro!
Ready to take your polynomial multiplication skills to the next level? Download our multiplying polynomials by polynomials worksheet today and start honing your algebra abilities. You’ll be amazed at how much progress you can make with just a bit of practice!
Multiplying Polynomials Notes And Worksheets Lindsay Bowden Worksheets Library
Edia AI Platform For Student Outcomes
Multiplying A Polynomial And A Monomial Worksheets
Printable Multiplying Polynomials Worksheets
Multiplying Polynomials Worksheets Printable With Answers Mashup Math





