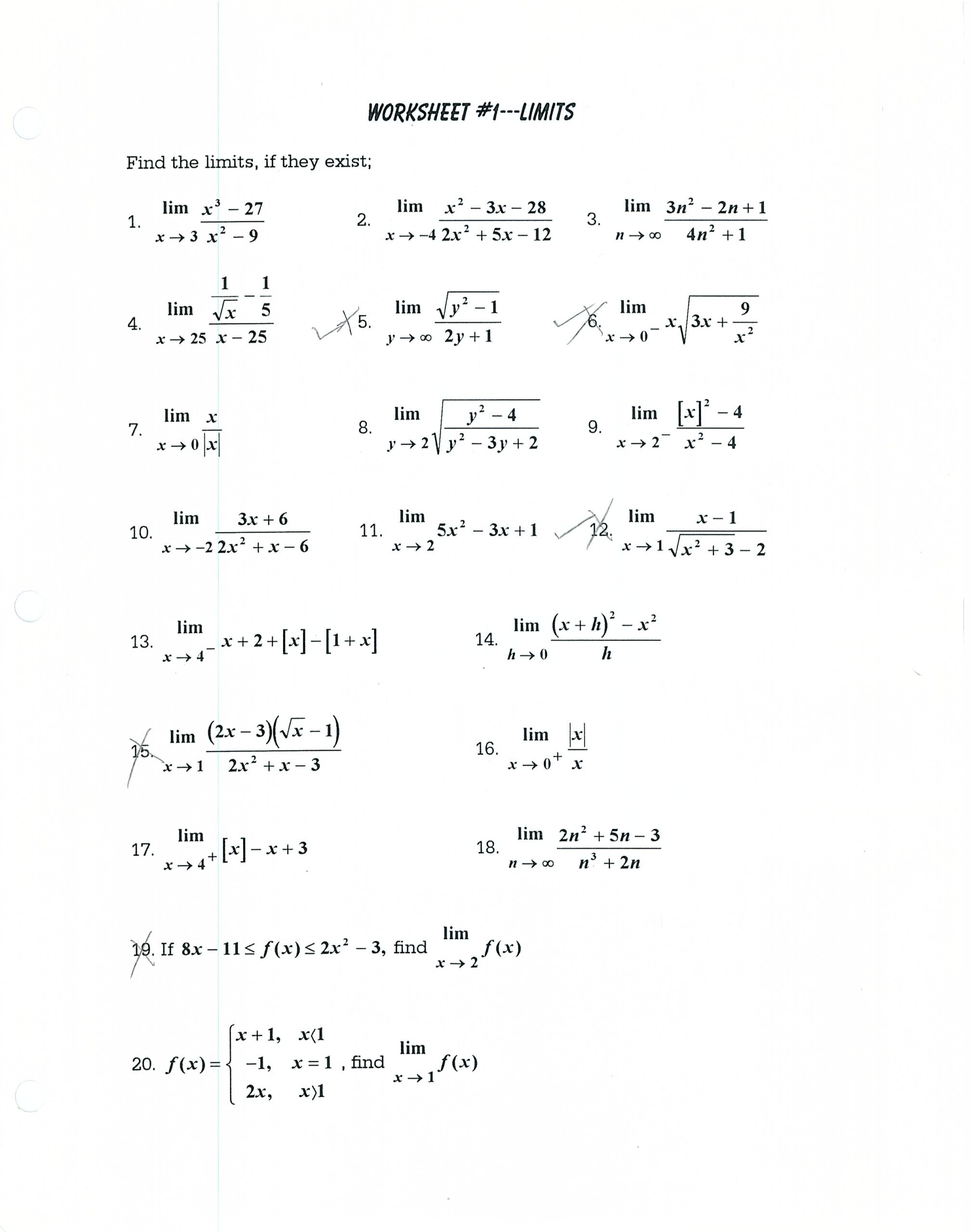
If you’re looking for a comprehensive AP Calculus FRQ worksheet PDF with solutions, you’ve come to the right place. These worksheets are designed to help you practice and master the concepts tested in the AP Calculus exam.
Whether you’re a student preparing for the exam or a teacher looking for resources to use in the classroom, these worksheets are a valuable tool. They cover a wide range of topics, from limits and derivatives to integrals and applications of derivatives.
ap calculus frq worksheet pdf with solutions
Mastering AP Calculus with FRQ Worksheet PDFs
Each worksheet includes a variety of Free Response Questions (FRQs) that mirror the format of the questions on the AP Calculus exam. Solutions are provided for each question, allowing you to check your work and understand the reasoning behind each answer.
By practicing with these worksheets, you’ll build confidence in your problem-solving skills and deepen your understanding of calculus concepts. Whether you’re struggling with a specific topic or looking to challenge yourself with more advanced problems, these worksheets have you covered.
Don’t wait until the last minute to start preparing for the AP Calculus exam. Incorporate these FRQ worksheet PDFs into your study routine and watch your skills improve. With regular practice and review, you’ll be well-equipped to tackle any question that comes your way on exam day.
So why not give these AP Calculus FRQ worksheet PDFs a try? Download them today and start mastering the concepts that will help you succeed on the AP Calculus exam. Happy studying!
8 3 Using Accumulation Functions And Definite Integrals In Applied Contexts Calculus
7 6 General Solutions Using Separation Of Variables Calculus
AP Calculus 2020 Practice FRQs Example Problem 2 AB2 FRQ YouTube
Assignments Flick s AB Calculus
7 7 Particular Solutions Using Initial Conditions And Separation Of Variables Calculus





